오예 !!!
[프로그래머스] 소수 만들기 본문
문제 설명
주어진 숫자 중 3개의 수를 더했을 때 소수가 되는 경우의 개수를 구하려고 합니다. 숫자들이 들어있는 배열 nums가 매개변수로 주어질 때, nums에 있는 숫자들 중 서로 다른 3개를 골라 더했을 때 소수가 되는 경우의 개수를 return 하도록 solution 함수를 완성해주세요.
제한사항
- nums에 들어있는 숫자의 개수는 3개 이상 50개 이하입니다.
- nums의 각 원소는 1 이상 1,000 이하의 자연수이며, 중복된 숫자가 들어있지 않습니다.
입출력 예
numsresult
| [1,2,3,4] | 1 |
| [1,2,7,6,4] | 4 |
입출력 예 설명
입출력 예 #1
[1,2,4]를 이용해서 7을 만들 수 있습니다.
입출력 예 #2
[1,2,4]를 이용해서 7을 만들 수 있습니다.
[1,4,6]을 이용해서 11을 만들 수 있습니다.
[2,4,7]을 이용해서 13을 만들 수 있습니다.
[4,6,7]을 이용해서 17을 만들 수 있습니다.
내 풀이
주어진 nums 배열에서 세 가지 원소를 합하여 만들 수 있는 모든 수를 구하고, 해당 수가 소수인지 판별하여 소수라면 num_prime을 1씩 증가시키는 방식으로 구현하였다.
#include <stdio.h>
#include <stdbool.h>
#include <stdlib.h>
int num_prime = 0;
// 소수 판별 함수
int isPrime(int num){
int last = num / 2;
if(num <= 1)
return 0; // 1은 소수 X
for(int i = 2; i <= last; i++){ // (num / 2)보다 큰 수는 약수 x
if((num % i) == 0) // n이 i로 나누어 떨어지면
return 0; // 소수 X
}
return 1; // 소수 O
}
void cnt_comb(int count, int copy[]){
int ans = 0;
for(int i = 0; i < count; i++){
ans += copy[i]; // 조합 내 모든 원소의 합
}
if(isPrime(ans)) // 세 원소의 합이 소수면
num_prime++; // num_prime 변수 1 증가
}
// 조합의 모든 경우의 수를 구하는 함수
void comb(int n, int r, int c, int nums[], int copy[]){
if(r == 0){
cnt_comb(c, copy);
return;
}
if(n < r)
return;
else{
copy[r - 1] = nums[n - 1];
comb(n - 1, r - 1, c, nums, copy);
comb(n - 1, r, c, nums, copy);
}
}
// nums_len은 배열 nums의 길이입니다.
int solution(int nums[], size_t nums_len) {
int answer = 0;
int copy[nums_len];
comb(nums_len, 3, 3, nums, copy);
answer = num_prime;
return answer;
}
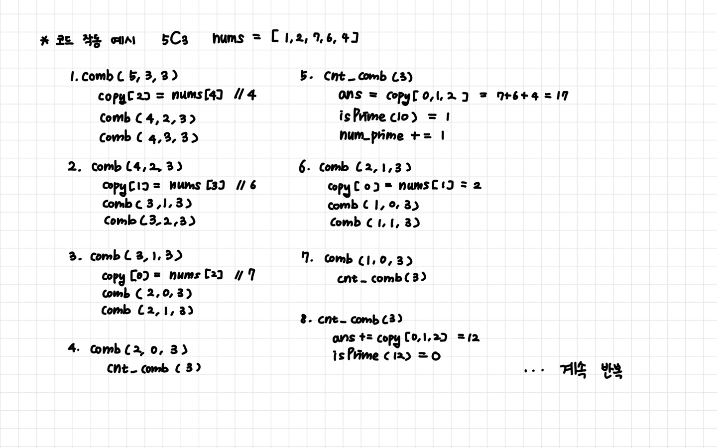
조합 함수인 comb의 작동 예시는 아래 이미지와 같다.

좋은 수가 생각나지 않아 비효율을 감수하고 조합을 통해 모든 경우의 수를 구하는 방식으로 구현하였다.
하지만 다른 사람들의 풀이를 보니, 애초에 문제 자체가 효율적으로 풀 수 없는 문제인 것 같다.
그래도 내 코드보다 훨씬 간결하여, 아래에 첨부한다.
다른 사람의 풀이
#include <stdio.h>
#include <stdbool.h>
#include <stdlib.h>
bool checkSoSu(int n) {
int i=n-1;
while(i!=1) {
if(n%i == 0) {
return false;
} else i--;
}
return true;
}
// nums_len은 배열 nums의 길이입니다.
int solution(int nums[], size_t nums_len) {
int answer = 0;
for(int i=0;i<nums_len-2;i++) {
for(int j=i+1;j<nums_len-1;j++) {
for(int k=j+1;k<nums_len;k++) {
if(checkSoSu(nums[i]+nums[j]+nums[k])) answer++;
}
}
}
return answer;
}'🌟취준 > [코테 문풀] 프로그래머스' 카테고리의 다른 글
| [프로그래머스] 숫자 문자열과 영단어 (0) | 2021.07.09 |
|---|---|
| [프로그래머스] 음양 더하기 (0) | 2021.07.08 |
| [알고리즘 스터디] 알고리즘 풀이 압축 파일 (0) | 2021.07.08 |
Comments